星环聚能持续深化在“AI+聚变”领域的融合创新,利用先进计算技术,在装置运行监测、等离子体控制与反演等关键领域取得系列重要进展,推动装置运行向更智能、更可靠、更高效的方向持续演进。
关键部件智能主动预警,显著提升装置运行安全与维护效率
为保障聚变装置安全稳定运行,系统需要实现对装置关键部件状态的实时感知与精准预警,并实时处理海量高频数据、应对毫秒级瞬态变化。若仍依赖传统人工巡查与经验判断的监测方式,则易导致效率不足和漏判风险。
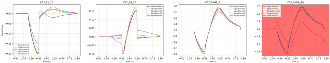
例如,聚变磁体电源系统需提供高达20kA的大电流,而单个功率器件难以独立承担,因此通常采用多组功率器件并联的桥臂结构,但该结构易引发不均流或环流问题,若不及时监测可能导致电源故障,然而常规罗科线圈在强电磁环境下易受干扰,导致采集信号不稳定。此外,在装置运行过程中,磁体线圈通流大,受机械应力等因素影响,磁体引线接头处电阻(通常低于30μΩ)即使出现极其微小的波动,也可能导致引线局部过热甚至爆炸,而传统方法难以准确判断此类微小的电阻波动,也无法有效评估数据可信度。
因此,星环聚能针对磁体电源桥臂电流与磁体引线接头电阻两项核心指标,分别利用基于数据驱动的有监督学习和无监督学习策略,建立并部署了智能异常检测系统,实现异常状态的早期识别与自动报警,显著提升了装置运行的安全性与维护效率,标志着装置运行维护向数据驱动、智能预判的方向迈出了重要一步。

磁体电源桥臂电流可视化展示

CS 磁体引线接头压降信号可视化展示

TF 磁体引线接头压降信号可视化展示
数据与物理双模型驱动,实现了等离子体控制的精准优化
在磁约束聚变装置运行过程中,等离子体控制过程具有多变量耦合、非线性强、时序特性明显、动态变化快等特点,使得传统依赖规则控制或固定模型参数的策略在复杂运行工况下适应性有限且调整成本较高。因此,星环聚能基于装置运行已积累的海量数据和物理的等离子体自由边界演化模型,通过强化学习方法,构建了更稳健、更精准的等离子体控制策略,目前已初步实现对等离子体径向位置R、等离子体垂直位置Z和拉长比κ(kappa)等等离子体几何参数的控制,有效减少人工调整与试错成本,进一步提升了等离子体控制的精度、响应速度与运行一致性,为等离子体稳定运行提供了高效可靠的技术支撑。

强化学习控制器实现等离子体垂直位置(Z)闭环稳定的实验结果


变目标控制器(目标 Z=-0.025m,R=0.645m)
变目标控制器(目标 Z=0.046m,R=0.610m)


RL实现几何参数(r/z/kappa)控制
拉长比1.6的等离子体
基于PINNs构建正/逆统一求解框架,实现了等离子体位形快速、高效估计
在等离子体平衡建模中,传统正问题(平衡预测)与逆问题(参数反演)长期独立求解,计算开销大且难以实时响应,反演精度在复杂磁场条件下容易下降。为此,星环聚能构建了基于物理信息神经网络(PINNs)的正问题与逆问题统一求解框架,该模型结构层共享信息,显著降低了冗余计算,并实现了对等离子体平衡形状、关键参数及磁面结构的端到端联合反演。同时,该框架在稀疏或含噪数据条件下仍表现出优秀的稳定性与泛化能力,预测结果与实验数据高度吻合,在位形重建与局部磁场反演中均展现出优异的拟合精度与可靠性,实现了快速、稳定的位形估计。





