截至2025年底,我国在建核电机组35台,总装机容量4221.6万千瓦,高于在建核电机组数量排名世界第二位的印度和排名第三位的俄罗斯,连续第19年位居全球第一位(印度在建6台核电机组总装机容量为476.8万千瓦,俄罗斯在建核电机组5台,总装机容量分别为500万千瓦)。2025年,全国有9台核电机组实现核岛浇筑第一罐混凝土(FCD),总装机容量1103.3万千瓦,按照开工时间顺序依次是陆丰1号、石岛湾一期扩建2号、惠州3号、金七门1号、招远1号、三澳3号、宁德6号、陆丰2号、白龙1号等机组。
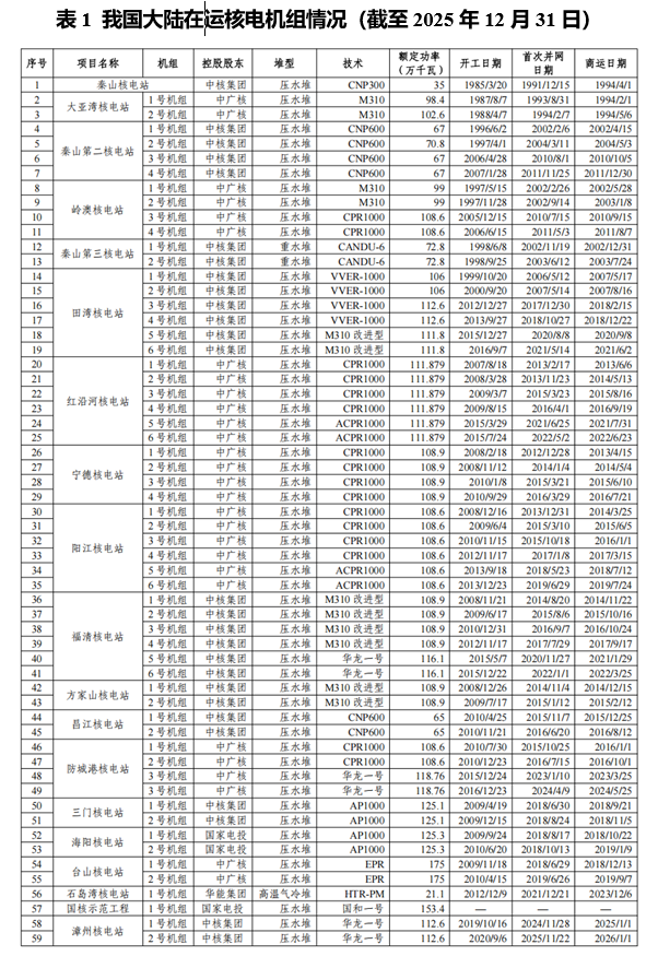
2025年,我国共核准10台核电机组,连续4年核准机组数量超过10台。截至2025年底,我国在运、在建和核准待建核电机组共有112台,总装机容量1.26亿千瓦,连续第3年居全球首位。我国核电机组分布在东部沿海8个省份25座核电站或核电基地。8个沿海省份自北向南依次是辽宁、山东、江苏、浙江、福建、广东、广西、海南。其中,徐大堡、招远、徐圩、金七门、三澳、陆丰、惠州、廉江、白龙等9个核电站为新建核电站,目前还没有建成投运的核电机组。我国各省份在运在建核电机组及装机容量情况如下图所示。

我国大陆各省份在运在建核电机组情况
(截至2025年12月31日)
2025年,预计我国核电机组年发电量将超过4600亿千瓦时,在电力结构中的占比接近5.0%。考虑到法国多台核电机组因电力需求疲软和阶段性供应过剩而处于停运、降功率运行和调节运行状态,预计2025年我国核能发电量将继续超过法国,连续6年位居全球第二位。综合考虑法国核电机组停运检修、调节运行与退役计划情况,以及近6年法国核能发电量情况(20192024年分别是3780亿、3350亿、3607亿、2821亿、3238亿、3644亿千瓦时)等因素,以及2026年我国预计将新投运9台核电机组总装机944万千瓦的容量、双碳目标推进、绿色能源体系建设、风光水核等多能并举等多种有利政策和规划因素,预计我国核能发电量将在未来几年内持续位居全球第二位。


[1] 本文均指我国大陆核电数据,未包括我国台湾地区核电数据,下同。
[2] 本文数据来源国际原子能机构、国家能源局、各省份政府与能源部门、中电联、中国核能行业协会和中核智库。





