能源圈获悉,9月11日,山东电网公司印发《2025年山东省新能源机制电价竞价组织公告》,组织2025年6月1日~12月31日并网的风电、光伏项目(不含工商业分布式)开展机制电价竞价。
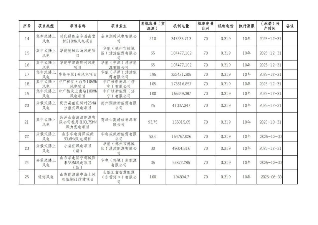
根据公示,本次竞价结果中,共有25个风电项目入选,类型涉及集中式陆上风电、分散式陆上风电、近海风电三类。
风电项目规模共计3.5911GW,机制电量规模共计59.67亿千瓦时。风电机制电价0.319元/kWh。
光伏入选项目数量为1175个,规模为1.265GW。其中,集中式光伏规模1.219GW,分布式光伏规模为46MW。光伏机制电量规模12.48亿千瓦时,机制电价0.225元/kWh。
原文如下:
关于山东省2025年度新能源机制电价竞价出清结果的公示
根据《关于印发
公示期:2025年9月11日至9月15日。
公示期间如有异议(逾期不再受理),请以书面形式发送至指定邮箱,并提供真实有效的举证材料。单位反映情况须加盖公章,个人反映情况须提供真实姓名及联系方式并签字确认。
电 话:0531-51785707
邮 箱:shihuanan@shandong.cn
附 件:
1:山东省2025年度新能源机制电价竞价出清结果(风电).pdf
2:山东省2025年度新能源机制电价竞价出清结果(光伏).pdf




































































































































来源:国网新能源云





